Skip to content

Find if Path Exists in Graph

Sar Champagne Bielert edited this page Apr 8, 2024 · 2 revisions

Problem Highlights

1: U-nderstand

Understand what the interviewer is asking for by using test cases and questions about the problem.

  • Established a set (2-3) of test cases to verify their own solution later.
  • Established a set (1-2) of edge cases to verify their solution handles complexities.
  • Have fully understood the problem and have no clarifying questions.
  • Have you verified any Time/Space Constraints for this problem?
  • Does the graph have to a connected graph?
    • Yes, this graph does not need to be a connected graph.
  • How many vertices could there be?
    • between 1 and 10000
  • Are all edges are unique, there are no duplicate edges correct?
    • Yes
  • What is the time and space constraints for this problem?
    • Let's go with O(V + E) time and O(V + E) space.
HAPPY CASE
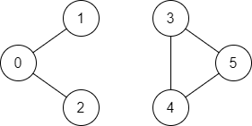
Input: n = 3, edges = [[0,1],[1,2],[2,0]], source = 0, destination = 2
Output: true
Explanation: There are two paths from vertex 0 to vertex 2:
- 0 → 1 → 2
- 0 → 2

image1

Input: n = 6, edges = [[0,1],[0,2],[3,5],[5,4],[4,3]], source = 0, destination = 5
Output: false
Explanation: There is no path from vertex 0 to vertex 5.

image2

EDGE CASE
Input: n = 1, edges = [], source = 0, destination = 0
Output: true

2: M-atch

Match what this problem looks like to known categories of problems, e.g. Linked List or Dynamic Programming, and strategies or patterns in those categories.

For Graph Problems, common solution patterns include:

  • DFS/BFS: We could use either BFS or DFS. DFS is fewer lines of code, but BFS makes use of the adjacency dictionary data structure.
  • Adjacency List: We already have an adjacency list, let's make it a adjacency dictionary.
  • Adjacency Matrix: We can use an adjacency matrix to store the graph, but this will make the problem more complicated.
  • Topological Sort: In order to have a topological sorting, the graph must not contain any cycles. We cannot apply this sort to this problem because we can have cycles in our graph.
  • Union Find: Are there find and union operations here? Can you perform a find operation where you can determine which subset a particular element is in? This can be used for determining if two elements are in the same subset. Can you perform a union operation where you join two subsets into a single subset? Can you check if the two subsets belong to same set? If no, then we cannot perform union.

3: P-lan

Plan the solution with appropriate visualizations and pseudocode.

Approach #1 DFS:

General Idea: Let's run a DFS from the source vertex, if we encounter the destination vertex, then we found it.

1. Create an adjacency dictionary to hold the graph, vertex to edges
2. Create a DFS call to visit neighboring vertex
    a. Do not continue DFS if vertex was visited or destination was visited
    b. Add current vertex to visited set to not revisit visited vertex(avoid infinite loop)
    c. Visit vertex neighbors
4. Create a visited set to not revisit visited vertex
5. Call the DFS call on the source vertex
6. Return whether or not we have visited the destination vertex

Approach #2 BFS:

1. Create an adjacency dictionary to hold the graph, vertex to edges
2. Create a visited set to not revisit visited vertex
3. BFS call to visit neighboring vertex
    a. If vertex was visited, then try the next vertex in queue
    b. We have a matching vertex to destination, return True
    c. Add vertex to vistied set to not revisit visited vertex(avoid infinite loop)
    d. Add neighbors to queue.
6. We have not visited destination vertex, return False

⚠️ Common Mistakes

  • A adjacency dictionary is very important for us to traverse the graph.

4: I-mplement

Implement the code to solve the algorithm.

Approach #1 DFS:

class Solution:
    def validPath(self, n: int, edges: List[List[int]], source: int, destination: int) -> bool:
        # Create an adjacency dictionary to hold the graph, vertex to edges
        adjacencyDict = defaultdict(list)
        for v, u in edges:
            adjacencyDict[v].append(u)
            adjacencyDict[u].append(v)

        # Create a DFS call to visit neighboring vertex
        def dfs(vertex):
            # Do not continue DFS if vertex was visited or destination was visited
            if vertex in visited or destination in visited:
                return

            # Add current vertex to visited set to not revisit visited vertex(avoid infinite loop)
            visited.add(vertex)

            # Visit vertex neighbors
            for neigh in adjacencyDict[vertex]:
                dfs(neigh)

        # Create a visited set to not revisit visited vertex
        visited = set()

        # Call the DFS call on the source vertex
        dfs(source)

        # Return whether or not we have visited the destination vertex
        return destination in visited
class Solution {
  boolean found = false;
  public boolean validPath(int n, int[][] edges, int start, int end) {
    if(start == end) return  true;
    // Create a visited set to not revisit visited vertex
    boolean[] visited = new boolean[n];
    // Create an adjacency dictionary to hold the graph, vertex to edges
    Map<Integer,List<Integer>> graph = new HashMap();
    for(int i = 0 ; i < n ; i++) graph.put(i, new ArrayList());
    for(int[] edge : edges){
        graph.get(edge[0]).add(edge[1]);
        graph.get(edge[1]).add(edge[0]);
    }

    // Call the DFS call on the source vertex
    dfs(graph,visited,start,end);

    // Return whether or not we have visited the destination vertex
    return found;
  }
  
  // Create a DFS call to visit neighboring vertex
  private void dfs(Map<Integer,List<Integer>> graph,boolean[] visited, int start, int end){
    // Do not continue DFS if vertex was visited or destination was visited
    if(visited[start] || found) return;

    // Add current vertex to visited set to not revisit visited vertex(avoid infinite loop)
    visited[start] = true;

    // Visit vertex neighbors
    for(int nei : graph.get(start)){
        if(nei == end){
            found = true;
            break;
        }
        if(!visited[nei])
            dfs(graph, visited, nei, end); //otherwise deep dig again!
    }
  }
}

Approach #2 BFS:

class Solution:
    def validPath(self, n: int, edges: List[List[int]], source: int, destination: int) -> bool:
        # Create an adjacency dictionary to hold the graph, vertex to edges
        adjacencyDict = defaultdict(list)
        for v, u in edges:
            adjacencyDict[v].append(u)
            adjacencyDict[u].append(v)

        # Create a visited set to not revisit visited vertex
        visited = set()

        # # BFS call to visit neighboring vertex
        queue = [source]
        while queue:
            vertex = queue.pop(0)
            # If vertex was visited, then try the next vertex in queue
            if vertex in visited:
                continue
            # We have a matching vertex to destination, return True
            elif vertex == destination:
                return True
            
            # Add vertex to vistied set to not revisit visited vertex(avoid infinite loop)
            visited.add(vertex)

            # Add neighbors to queue
            for neigh in adjacencyDict[vertex]:
                queue.append(neigh)

        # We have not visited destination vertex, return False
        return False
class Solution {
    public boolean validPath(int n, int[][] edges, int source, int destination) {
      // Create an adjacency dictionary to hold the graph, vertex to edges
      List<List<Integer>> graph = buildGraph(n, edges);        
      // Create a visited set to not revisit visited vertex
      boolean[] visited = new boolean[n];

      // BFS call to visit neighboring vertex
      Queue<Integer> queue = new LinkedList<>();

      queue.offer(source);

      while(!queue.isEmpty()) {
        int current = queue.poll();

        // We have a matching vertex to destination, return True
        if (current == destination) return true;

        // Add vertex to vistied set to not revisit visited vertex(avoid infinite loop)
        visited[current] = true;

        for(int neighbor: graph.get(current)) {
          // If vertex was NOT visited, Add neighbors to queue
          if (!visited[neighbor]) queue.offer(neighbor);
        }
      }

      // We have not visited destination vertex, return False
      return false;
    }

    // Create an adjacency dictionary to hold the graph, vertex to edges
    private List<List<Integer>> buildGraph(int n, int[][] edges) {
      List<List<Integer>> graph = new ArrayList<>();

      for(int i=0;i<n;i++) {
        graph.add(new ArrayList<>());
      }

      for(int[] edge: edges) {
        graph.get(edge[0]).add(edge[1]);
        graph.get(edge[1]).add(edge[0]);
      }

      return graph;
    }
}

5: R-eview

Review the code by running specific example(s) and recording values (watchlist) of your code's variables along the way.

  • Trace through your code with an input to check for the expected output
  • Catch possible edge cases and off-by-one errors

6: E-valuate

Evaluate the performance of your algorithm and state any strong/weak or future potential work.

Assume V represents the number of vertices/nodes. Assume E represents the number of edges

Approach #1 DFS & #2 BFS Share the same time and space complexity:

  • Time Complexity: O(V+E) We may need to visit each vertex/nodes and their edges.
  • Space Complexity: O(V+E) accounting for the use of a adjacency dictionary.
Clone this wiki locally