A simplistic and efficient pure-python neural network library from Phys Whiz with CPU and GPU support.
Explore the docs »
View Demo
·
Report Bug
·
Request Feature
Table of Contents
Neural networks are an integral part of machine learning. The project provides an easy-to-use, yet efficient implementation that can be used in your projects or for teaching/learning purposes.
The library is written in pure-python with some optimizations using numpy, opt_einsum, and numba when using CPU and cupy for CUDA support.
The goal was to create a framework that is efficient yet easy to understand, so that everyone can see and learn about what goes inside a neural network. After all, the project did spawn from a semester project on CP_IV: Machine Learning course at the University of Jena, Germany.
- Cupy (Optional)
- NumPy (Required)
- numba (Required)
- opt_einsum (Required)
- matplotlib (Required)
- nnv (Required)
- pillow (Optional)
- zipfile (Optional)
To get a local copy up and running follow these simple example steps.
You need to have python3 installed along with pip.
There are many ways to install crysx_nn
- Install the release (stable) version from PyPi
pip install crysx_nn
- Install the latest development version, by cloning the git repo and installing it.
This requires you to have
gitinstalled.git clone https://github.com/manassharma07/crysx_nn.git cd crysx_nn pip install .
- Install the latest development version without
git.pip install --upgrade https://github.com/manassharma07/crysx_nn/tarball/main
Check if the installation was successful by running python shell and trying to import the package
python3Python 3.7.11 (default, Jul 27 2021, 07:03:16)
[Clang 10.0.0 ] :: Anaconda, Inc. on darwin
Type "help", "copyright", "credits" or "license" for more information.
>>> import crysx_nn
>>> crysx_nn.__version__
'0.1.0'
>>> Finally download the example script (here) for simulating logic gates like AND, XOR, NAND, and OR, and try running it
python Simluating_logic_gates.pyThe most important thing for using this library properly is to use 2D NumPy/Cupy arrays for defining the inputs and expected outputs (targets) for a network. 1D arrays for inputs and targets are not supported and will result in an error.
For example, let us try to simulate the logic gate AND. The AND gate takes two input bits and returns a single input bit. The bits can take a value of either 0 or 1. The AND gate returns 1 only if both the inputs are 1, otherwise it returns 0.
The truth table of the AND gate is as follows
| x1 | x2 | output |
|---|---|---|
| 0 | 0 | 0 |
| 0 | 1 | 0 |
| 1 | 0 | 0 |
| 1 | 1 | 1 |
The four possible set of inputs are
import numpy as np
inputs = np.array([[0.,0.,1.,1.],[0.,1.,0.,1.]]).T.astype('float32')
print(inputs)
print(inputs.dtype) Output:
[[0. 0.]
[0. 1.]
[1. 0.]
[1. 1.]]
float32Similarly, set the corresponding four possible outputs as a 2D numpy array
# AND outputs
outputAND = np.array([0.,0.,0.,1.]) # 1D array
outputAND = np.asarray([outputAND]).T # 2D array
print('AND outputs\n', outputAND)Output:
AND outputs
[[0.]
[0.]
[0.]
[1.]]Next, we need to set some parameters of our Neural network
nInputs = 2 # No. of nodes in the input layer
neurons_per_layer = [3,1] # Neurons per layer (excluding the input layer)
activation_func_names = ['Sigmoid', 'Sigmoid']
nLayers = len(neurons_per_layer)
eta = 0.5 # Learning rate
nEpochs=10**4 # For stochastic gradient descent
batchSize = 4 # No. of input samples to process at a time for optimizationLet us now create the neural network model using the above parameters
from crysx_nn import network
model = network.nn_model(nInputs=nInputs, neurons_per_layer=neurons_per_layer, activation_func_names=activation_func_names, batch_size=batchSize, device='CPU', init_method='Xavier') Note: device='CPU' indicates that the we are going to be running the computations on the CPU. If you have cupy installed and a compatible GPU, then you could also use device='GPU'. However, in that case the inputs and ouputs should also be cupy arrays instead of numpy arrays.
To check if the model was initialized correctly, you can check the model details as
model.details()Output:
----------------------------------------------------------------------------------
****Neural Network Model Details****
----------------------------------------------------------------------------------
Number of input nodes: 2
Number of layers (hidden+output): 2
Number of nodes in each layer (hidden & output): [3, 1]
Activation function for each layer (hidden & output): ['Sigmoid', 'Sigmoid']
Method used for weights and biases initialization: Xavier
Batch Size: 4
Device: CPU
Optimization method: SGD
Learning rate: 0.5
----------------------------------------------------------------------------------
For a better understanding of our network, let us visualize it.
model.visualize()Weights and biases are already initialized when you create the model using the 'Xavier' method.
Weights and biases are lists of 2D and 1D NumPy arrays, respectively (1 Numpy array for each layer). In our case, we have 2 layers (1 hidden+ 1 output), therefore, the list of Weights and Biases will have 2 NumPy arrays each.
You can also initialize them again using some other method as follows:
model.init_params(method='NormXavier')
print('Initial Weights:\n',model.init_weights)
print('Initial Biases:\n',model.init_biases)Output:
Initial Weights:
[array([[-0.66735507, 1.89981375],
[ 1.58135381, 0.30297808],
[-1.02875636, 0.39637066]]), array([[ 1.14150595, 0.86579216, -1.50878406]])]
Initial Biases:
[array([0., 0., 0.]), array([0.])]
Finally it is time to train our neural network. We will use mean squared error (MSE) loss function as the metric of performance. Currently, only stochastic gradient descent is supported.
# Run optimization
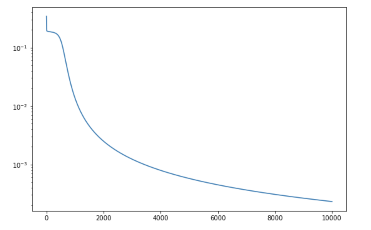
model.optimize(inputs, outputAND, lr=0.5,nEpochs=nEpochs,loss_func_name='MSE', miniterEpoch=1, batchProgressBar=False, miniterBatch=100)The optimization saves the optimized weights model.weights and biases model.biases as well as the error model.errors at each epoch in the attributes of the nn_model object.
We can then plot the training loss at each epoch
import matplotlib.pyplot as plt
# Plot the error vs epochs
plt.plot(model.errors)
plt.yscale('log')
plt.show()Finally, you can make predictions using the optimized network using the following code
predictions, error = model.predict(inputs, outputAND, loss_func_name='MSE')
print('Input:\n',inputs)
print('Prediction:\n',predictions)
print('Expected Output:\n',outputAND)
print('New Average Error with optimized weights:\n', error)OUTPUT:
Input:
[[0. 0.]
[0. 1.]
[1. 0.]
[1. 1.]]
Prediction:
[[6.51744058e-05]
[8.16272136e-03]
[5.94678339e-03]
[9.90297134e-01]]
Expected Output:
[[0.]
[0.]
[0.]
[1.]]
New Average Error with optimized weights:
4.903602650103742e-05
For more examples, please refer to the Examples Section
CrysX-NN (crysx_nn) also provides CUDA support by using cupy versions of all the features ike activation functions, loss functions, neural network calculations, etc. Note: For small networks the Cupy versions may actually be slower than CPU versions. But the benefit becomes evident as you go beyond 1.5 Million parameters.
- Efficient implementations of activation functions and their gradients
- Sigmoid, Sigmoid_grad
- ReLU, ReLU_grad
- Softmax, Softmax_grad
- Softplus, Sofplus_grad
- Tanh, Tanh_grad
- Tanh_offset, Tanh_offset_grad
- Identity, Identity_grad
- Efficient implementations of loss functions and their gradients
- Mean squared error
- Mean absolute error
- Binary cross entropy
- Categorical cross entropy
- Several methods for weights initialization
-
'random1','random2','random3' -
'Xavier' -
'NormXavier' -
'He'
-
- Neural network optimization using
- Stochastic Gradient Descent
- Support for batched inputs, i.e., supplying a matrix of inputs where the columns correspond to features and rows to the samples
- Save/load trained model weights and biases
- Support for GPU through Cupy
pip install cupy-cuda102(Tested with CUDA 10.2) - JIT compiled functions when possible for efficiency
- Object oriented
- More activation functions
- LeakyReLU, Swish, Mish, etc.
- More loss functions
- Hinge loss, and others
- Optimization algorithms apart from Stochastic Gradient Descent, like ADAM, RMSprop, etc.
- Implement regularizers
- Batch normalization and layer normalization
- Dropout
- Early stopping
- Some metric functions, although there is no harm in using
sklearnfor that
See the open issues for a full list of proposed features (and known issues).
Contributions are what make the open source community such an amazing place to learn, inspire, and create. Any contributions you make are greatly appreciated.
If you have a suggestion that would make this better, please fork the repo and create a pull request. You can also simply open an issue with the tag "enhancement". Don't forget to give the project a star! Thanks again!
- Fork the Project
- Create your Feature Branch (
git checkout -b feature/AmazingFeature) - Commit your Changes (
git commit -m 'Add some AmazingFeature') - Push to the Branch (
git push origin feature/AmazingFeature) - Open a Pull Request
Distributed under the MIT License. See LICENSE.txt for more information.
Manas Sharma - @manassharma07 - [email protected]
Project Link: https://github.com/manassharma07/crysx_nn
Project Documentation: https://bragitoff.com
Blog: https://bragitoff.com
- Lecture notes by Prof. Dr. Bernd Brügmann
- Prof. Dr. Marek Sierka, my PhD Supervisor for his support always.
- Ondřej Zelenka for useful discussions.
- Neural Networks and Deep Learning by Michael Nielsen
- A high-bias, low-variance introduction to Machine Learning for physicists by Mehta et al., 2019
- Deep Learning by Goodfellow et al., 2016
If you use this library and would like to cite it, you can use:
M. Sharma, "CrysX-NN: Neural Network libray", 2021. [Online]. Available: https://github.com/manassharma07/crysx_nn. [Accessed: DD- Month- 20YY].
or:
@Misc{,
author = {Manas Sharma},
title = {CrysX-NN: Neural Network libray},
month = december,
year = {2021},
note = {Online; accessed <today>},
url = {https://github.com/manassharma07/crysx_nn},
}


