-
Notifications
You must be signed in to change notification settings - Fork 60
Calculating Recipe Rates
This wiki entry details how to calculate the effective speed of a recipe at a specific voltage tier. Additionally, it explains how to calculate parallel recipes per second.
Recipe duration is calculated using the following equation:
- dur f is the final recipe duration in seconds.
- dur base is the recipe's base duration in seconds.
-
dur mult is the duration modifier given by some large machines. Percentages should be expressed in decimal form: e.g.
333% = 3.33. Machines without such a multiplier should use a value of1. -
oc const is the speed increasing factor determined by voltage. For recipes of
16EU/tand lower, use2.0. For recipes of17EU/tand larger, use2.8. Note that this value is to the power (^) of V diff. -
V diff is the difference in voltage tiers between the base recipe and EU/t it is run at. Voltage tiers begin at ULV, which is equal to
0, and end with MAX at14. You calculate this value by using the following equation:Current Voltage Tier - Recipe Voltage Tier. E.g. An LV recipe run at HV is3 - 1 = 2, since HV is tier 3 and LV is tier 1.
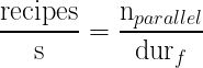
After calculating the time the recipe takes, you can find the amount of recipes per second with this second equation:
-
n parallel is the number of parallel recipes to be run.
- For standard large machines, you can multiply the amount of parallel recipes per tier by V diff.
- For the Processing Array, this value is equal to the amount of machines inside the controller.
- For the Multismelter, this value is equal to the amount of parallel recipes provided by the heating coil used in the structure.
- The Steam Grinder and Oven can run up to
8recipes in parallel - use a number according to the amount of parallel recipes intended to be run in those machines. - If you want to calculate the rate for a non-parallel machine, use
1for this value.
- dur f is the recipe duration, calculated above.
With standard configurations, Processing Arrays will contend with and eventually exceed Large Machines with high enough voltages. For players optimizing for the greatest speed possible, it will allow you to find which machine is faster overall. Processing Arrays and Large Machines have benefits and drawbacks, namely cost vs. speed, and this will help determine which is truly more worth it.
This will explain how this equation reaches the value of recipes per second, for those interested.
The first equation takes the recipe's base duration, and multiplies it by a machine's potential duration modifier. It then divides it by the GT overclocking factor. Each time it is divided, the duration is overclocked once. The voltage difference is the total amount of overclocks, so, raising the OC factor to the power of the voltage difference will do all of the division in one step. This calculates the effective recipe speed at a specific voltage tier.
The second equation changes the value from units of time (s) to recipes per time (recipes/s). The division here puts it in terms of 1 second. This results in the effective processing rate of a recipe at a specific voltage. When comparing these values among other recipes or machines, a larger value means a faster rate.

